
Guide scientifique, technique et économique pour comprendre, dimensionner et investir intelligemment
Le vent est une ressource gratuite, locale, inépuisable à l’échelle humaine et encore largement sous-valorisée dans les stratégies énergétiques individuelles et industrielles. À l’heure où la maîtrise des coûts énergétiques, la décarbonation et l’autonomie deviennent des enjeux majeurs, l’énergie éolienne — du grand parc industriel à la mini-éolienne domestique — s’impose comme un levier stratégique.
Dans cet article complet, rédigé dans une approche technique, scientifique et pédagogique, nous explorons :
- Le fonctionnement physique du vent
- Les principes de l’éolien industriel et du mini-éolien
- Les applications concrètes : production électrique, séchage, ventilation, valorisation thermique
- Les aspects économiques et retour sur investissement
- Les enjeux environnementaux et écologiques
- Les solutions d’intégration en autonomie énergétique
- Les possibilités d’équipement via Groupe Envirofluides et Groupe Apona MFB
- Des ressources complémentaires sur le blog technique : www.demeter-fb.fr
1️⃣ Le vent : fondements scientifiques et énergie disponible
Origine physique du vent
Le vent résulte des différences de pression atmosphérique générées par :
- L’inégale répartition du rayonnement solaire
- Les différences thermiques sol / mer
- Les gradients de température altitude / surface
- La rotation terrestre (effet Coriolis)
Le soleil chauffe inégalement la surface terrestre. L’air chaud monte, l’air froid descend : ces mouvements créent des masses d’air en déplacement — autrement dit, le vent.
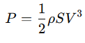
Puissance théorique du vent
La puissance contenue dans une masse d’air en mouvement est donnée par :

où :
- ρ = densité de l’air (~1,225 kg/m³)
- S = surface balayée par le rotor
- V = vitesse du vent
👉 Point clé : la puissance varie avec le cube de la vitesse du vent.
Si la vitesse double → la puissance est multipliée par 8.
Cela explique pourquoi le dimensionnement doit impérativement être basé sur une étude anémométrique sérieuse.
Limite de Betz
Aucune éolienne ne peut récupérer plus de 59,3 % de l’énergie cinétique du vent (limite de Betz).
En pratique :
- Éolien industriel : 40–50 %
- Mini-éolien : 25–40 %
2️⃣ L’éolien industriel : puissance et mutualisation
Fonctionnement
Une éolienne industrielle comprend :
- Rotor tripale
- Multiplicateur ou génératrice directe
- Mât (80 à 150 m)
- Systèmes de contrôle de pas de pale
- Orientation automatique (yaw)
Puissance typique : 2 à 6 MW par machine.
Avantages économiques
- Production massive
- Mutualisation réseau
- Tarifs d’achat garantis
- Décarbonation importante
Contraintes
- Acceptabilité paysagère
- Investissement lourd
- Études d’impact environnemental
- Intermittence
3️⃣ Le mini-éolien : autonomie locale et décentralisation
Le mini-éolien concerne les puissances de 300 W à 50 kW.
Applications :
- Habitat isolé
- Ferme autonome
- Site industriel décentralisé
- Pompage agricole
- Recharge batteries
Éolienne horizontale vs verticale
Horizontal (HAWT)
✔ Rendement élevé
✔ Adapté aux vents réguliers
✖ Nécessite orientation
Vertical (VAWT)
✔ Fonctionne vent turbulent
✔ Moins bruyant
✖ Rendement inférieur
Couplage photovoltaïque + mini-éolien
Avantage stratégique :
- Le solaire produit en été
- Le vent est plus présent en hiver
- Complémentarité saisonnière
Cela permet une réduction du stockage batterie nécessaire.
4️⃣ Le vent pour le séchage : solution naturelle et performante
Le séchage par ventilation naturelle assistée est historiquement utilisé :
- Séchage agricole (foin, céréales)
- Bois énergie
- Produits alimentaires
- Compost
Principe physique
Le vent :
- Augmente le coefficient d’échange convectif
- Favorise l’évaporation
- Réduit l’humidité relative locale
La capacité de séchage dépend de :
- Température
- Hygrométrie
- Vitesse d’air
Séchage hybride vent + solaire
Une approche intelligente consiste à combiner :
- Capteurs solaires thermiques
- Ventilation naturelle
- Mini-éolienne alimentant ventilateurs basse consommation
Applications :
- Hangars agricoles
- Séchage biomasse
- Séchage industriel basse énergie
5️⃣ Économie et rentabilité du mini-éolien
Facteurs déterminants
- Vitesse moyenne annuelle
- Régularité du vent
- Hauteur du mât
- Coût du kWh substitué
- Aides régionales
Exemple simplifié
Mini-éolienne 5 kW
Production moyenne : 8 000 à 12 000 kWh/an
Investissement : 15 000 – 30 000 €
Retour sur investissement : 6 à 12 ans selon contexte.
Optimisation financière
- Autoconsommation prioritaire
- Stockage intelligent
- Pilotage charge thermique (ballon ECS)
- Couplage pompe à chaleur
6️⃣ Écologie et impact environnemental
Empreinte carbone
L’énergie éolienne est parmi les plus faibles en CO₂ :
10–15 g CO₂/kWh (cycle de vie)
Comparaison :
- Gaz : 400–500 g
- Charbon : 900–1 000 g
Recyclabilité
- Acier recyclable
- Aluminium recyclable
- Composites en cours d’amélioration
Biodiversité
Les impacts sont maîtrisables via :
- Études faune
- Implantation raisonnée
- Hauteur adaptée
7️⃣ Autonomie énergétique : stratégie intégrée
Un système optimisé peut intégrer :
- Photovoltaïque
- Mini-éolien
- Batterie
- Ballon tampon thermique
- Gestion énergétique intelligente
Objectif :
- Réduction facture
- Résilience réseau
- Valorisation surplus
8️⃣ Valorisation thermique du vent
Le vent peut aussi servir indirectement :
- Refroidissement naturel
- Free-cooling
- Hybridation ventilation industrielle
- Récupération d’énergie sur flux d’air
9️⃣ Cas pratiques
🌾 Exploitation agricole
- Mini-éolienne 10 kW
- Séchage foin ventilé
- Stockage batterie
- Réduction facture électrique 40–60 %
🏭 PME industrielle
- Couplage éolien + récupération chaleur
- Baisse coût process
- Image RSE renforcée
🔟 Intégration technique professionnelle
Une étude sérieuse comprend :
- Cartographie vent
- Étude turbulence
- Dimensionnement structure
- Analyse économique
- Planification réglementaire
1️⃣1️⃣ Acheter une solution éolienne : accompagnement expert
Solutions via Groupe Envirofluides
- Étude de site
- Dimensionnement mini-éolien
- Couplage thermique
- Optimisation énergétique globale
- Intégration industrielle
- Systèmes hybrides
- Gestion énergétique avancée
- Valorisation énergétique process
Solutions via Groupe Apona MFB
Au-delà de l’équipement et de la technique, la gestion moderne de l’eau au jardin repose aussi sur une approche humaine, écologique et pédagogique. Le Groupe Apona MFB se distingue par sa philosophie unique : allier la maîtrise de la nature et des systèmes vivants à l’épanouissement personnel et à la reconnexion avec le vivant.
1️⃣2️⃣ Blog technique & connaissances
Pour approfondir :
📘 Articles scientifiques
📘 Études de cas
📘 Dimensionnement
📘 Réglementation
Le vent n’est pas une simple énergie complémentaire.
C’est :
- Une ressource locale
- Un levier économique
- Un outil d’autonomie
- Un accélérateur écologique
- Un vecteur de valorisation énergétique
Du mini-éolien domestique à la stratégie industrielle complète, son intégration intelligente transforme un flux naturel invisible en actif énergétique durable.
🌬️ Le futur est dans l’air
Si vous souhaitez :
✔ Étude personnalisée
✔ Audit énergétique
✔ Projet mini-éolien
✔ Intégration hybride
✔ Stratégie autonomie
Les équipes techniques du Groupe Envirofluides et du Groupe Apona MFB peuvent vous accompagner.
Pour approfondir vos connaissances techniques et scientifiques :
📚 www.demeter-fb.fr